产品与服务

PRODUCTS AND SERVICES

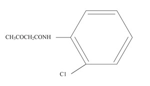
乙酰乙酰邻氯苯胺

所属分类
二乙芳胺系列
产品特性

分子式:C10H11CINO2
结构式:


CAS NO.:93-70-9
应用领域:主要用于合成C.l.颜料黄3;63;168等品种的偶合组份。

 

上一个

.

Copyright © 2019 乐鱼球赛 All Rights Reserved

联系电话:0532-89076010  

鲁ICP备14024413号  网站建设:中企动力 青岛

Copyright © 2019 乐鱼球赛 All Rights Reserved

鲁公网安备 37021202001462号

联系电话:0532-89076010  |  鲁ICP备14024413号  |  网站建设:中企动力 青岛