产品与服务

PRODUCTS AND SERVICES

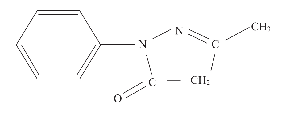
1-苯基-3-甲基-5-吡唑酮

所属分类
吡唑酮系列
产品特性

分子式:C10H10N2O
结构式:

 


CAS NO.:89-25-8
应用领域:主要用于有机合成C.l.颜料黄60;C.l.颜料橙13;50;C.l.颜粹红41;C.1.酸性橙74;89;C.l.酸性红226及C.1.颜料棕50等品种的偶合组

 

.

Copyright © 2019 乐鱼球赛 All Rights Reserved

联系电话:0532-89076010  

鲁ICP备14024413号  网站建设:中企动力 青岛

Copyright © 2019 乐鱼球赛 All Rights Reserved

鲁公网安备 37021202001462号

联系电话:0532-89076010  |  鲁ICP备14024413号  |  网站建设:中企动力 青岛